Hediye Kampanyamız:En fazla puan toplayan 3 kişiye 400TL'lik hepsiburada hediye çeki hediye ediyoruz..

SORU BANKASI - ÇALIŞMA KAĞIDI AYRINTILARI


7.Sınıf Matematik Çalışma Kağıdı


Kategori:7.Sınıf Mat. Diğer Konular ve Dahası teması

Hazırlayan:Batuhan  Şen (6.1.2015 15:35:04)

Başlık:Atatürk Ortaokulu Türkçe 1.Dönem 3.Yezili

İzlenme:1871

Bu çalışma kağıdını, çalışma kağıtlarıma kopyala ve düzenle - Yönetime Bildir


Yazdır / İndir
Atatürk Ortaokulu
2014-2015 Öğretim Yılı 7.Sınıf Matematik Dersi

Tarih:7.1.2015


1) 2(x-13)-5x=3x-14 denkleminin (a+1).x+a.(x-1)=18 denkleminde köklü olduğuna göre, a değeri kaçtır?

   A) -5     B) -4     C) -2     D) -1  




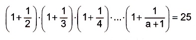
2) olduğuna göre, a sayısının toplama işlemine göre tersi kaçtır?

   A) -50     B) -48     C) 48     D) 50  




3)  denkleminin kökü kaçtır?

   A) -5     B) -4     C) -3     D) -2  


4) 3(x+10)-5(2x-7)=4(2x+5) denkleminin çözüm kümesi aşağıdakilerden hangisidir?

   A) {1}     B) {3}     C) {8}     D) {15}  




5) denkleminin kökü 2 olduğuna göre a değeri kaçtır?

   A) -3     B) 0     C) 1     D) 2  




6) denklemini sağlayan a değeri kaçtır?

   A) -2     B) -1     C) 0     D) 1  




7)  denklemini sağlayan x değeri kaçtır?

   A) -28     B) -26     C) -24     D) -22  


8) Aşağıdaki ifadelerden hangisi daima doğru değildir?

   A) Bir denklem; içindeki bilinmeyenin her reel sayı değeri için sağlanıyorsa, çözüm kümesi R dir.
   B) Denklemi gerçekleyen bir sayı yoksa, çözüm kümesi Q dir
   C) Bir eşitliğin her iki tarafı aynı sayı ile çarpılırsa eşitlik bozulmaz.
   D) Bir eşitsizliğin her iki tarafı sıfırdan farklı bir sayı ile çarpılır veya bölünürse, eşitsizlik bozulmaz.


9) 5(x+1)-3(x-2)=3x+5 denklemin kökü ile ilgili aşağıdakilerden hangisi söylenemez?

   A) Pozitif tamsayıdır.
   B) 3 ile kalansız bölünür
   C) Tek tamsayıdır
   D) 2 ile kalansız bölünür




10) denklemini sağlayan x değeri kaçtır?

   A) -6     B) -5     C) 5     D) 6  


11) Aşağıdakilerden hangisi y- eksenine paraleldir?

   A) y = 13     B) y = x     C) y = - 23     D) x = 55  


12) Aşağıdaki bilgilerden hangisi yanlıştır?

   A) Bir eşitsizliğin her iki tarafı negatif bir sayıya bölünürse eşitsizlik yön değiştirir.
   B) Denklemi doğru yapan değeri bulmaya denklemi çözmek denir
   C) Bir eşitsizliğin çözüm kümesi sadece sayı doğrusu ile gösterilebilir
   D) Kesin bir hüküm bildiren ifadelere öner­me denir


13) 5 = 2.(x - 3) ifadesi için hangisi söylenemez?

   A) İfade bir denklemdir
   B) İfade bir açık önermedir
   C) x = 4 için yanlış bir önermedir
   D) Çözüm kümesi yoktur


14) İçinde bir bilinmeyen bulunan be bilinme­yenin alacağı değere göre doğruluğu ya da yanlışlığı kesin olarak belirlenen ifadelere ne denir?

   A) Açık önerme
   B) denklem
   C) matematiksel ifade
   D) önerme


15) x ? Z olduğuna göre 2(x -7 ) > -12 eşitsizliğinin çözüm kümesi aşağıdakilerden hangisidir?

   A) {1,2,3.......}
   B) {1}
   C) {2,3,4,5......}
   D) {3,4,5......}


16) Aşağıdaki noktalardan hangisi y = 3 doğrusu üzerinde değildir?

   A) (0,3)     B) (3,0)     C) (-1,3)     D) (-3,3)  


17) x3 - 4x - 7 ifadesinin x = - 3 için değeri kaçtır?

   A) -20     B) 18     C) -32     D) -22  


18) 3y + 7 < 28 eşitsizliğinde y yerine yazılabile­cek en büyük tam sayı kaçtır?

   A) 4     B) 5     C) 6     D) 7  


19) İçinde en az bir bilinmeyen bulunan ve bu bilinmeyenlere verilen bazı değerlerle doğ­ruluğu sağlanan eşitliklere ne denir?

   A) önerme     B) denklem     C) cümle     D) formül  


20) a-24=40 a=?

   A) 20     B) 64     C) 40     D) 16  

Başarılar dilerim

Bu döküman Sınıf Öğretmeniyiz Biz soru bankasında oluşturulmuştur. Binlerce resimli ve görsel soru içinden seçtiğiniz sorularla yazılı ve test kağıtları oluşturmak için sitemizi ziyaret ediniz. (http://www.sinifogretmeniyiz.biz/soru_bankasi_default.asp)

YORUMLAR
En yeni ve güncel etkinlikler için bizi takip edin
Sen de soru ekle
Çalışma kağıdı oluştur