Hediye Kampanyamız:En fazla puan toplayan 3 kişiye 400TL'lik hepsiburada hediye çeki hediye ediyoruz..

SORU BANKASI - ÇALIŞMA KAĞIDI AYRINTILARI


7.Sınıf Matematik 2.Dönem 1.Yazılı


Kategori:7.Sınıf Mat. Doğrular ve Açılar ve Dahası teması

Hazırlayan:Asena Simay  Özaslan (23.3.2015 19:26:28)

Başlık:2014 - 2015 Eğitim ve Öğretim Yılı

İzlenme:1858

Bu çalışma kağıdını, çalışma kağıtlarıma kopyala ve düzenle - Yönetime Bildir


Yazdır / İndir
DURALİ BEZCİ ORTAOKULU
2014-2015 Öğretim Yılı 7.Sınıf Matematik Dersi
2.Dönem 1.Yazılı

Ad Soyad:..............................Tarih:25.3.2015
No:..............................Puan:.....................

1) Bir işi 6 işçi 10 saatte yapıyorsa aynı işi 15 işçi kaç saatte yapar?



     Cevap:______




700 TL para yatırılır.3 ay sonra %5 yıllık faiz ile çekilir.
2) Buna göre 3 ay sonra kaç TL çekilir?

   A) 705     B) 708     C) 8,75     D) 708,75     E) 875  




3) Yukarıdaki şekle göre x kaç derecedir?

   A) 75°     B) 80°     C) 85°     D) 95°  




4) Şekilde; ABCD dikdörtgenin içine, O merkezli yarım daire teğet olarak çizilmiştir. Çemberin çapı 8 cm ise, taralı alanlar toplamı kaç cm²'dir? (π=3)

   A) 8     B) 12     C) 24     D) 32  


5) Aşağıdakilerden hangisi doğrudur?

   A) Aynı yayı gören merkez açı ve çevre açı birbirine eşittir
   B) Merkez açı gördüğü yayın yarısına eşittir
   C) O Çevre açı gördüğü yayın iki katına eşittir
   D) emberin üzerindeki iki noktayı birleşti­ren doğru parçası kiriştir


6) Köşesi çemberin üzerinde olan açıya ne ad verilir?

   A) Merkez açı     B) Tümler açı     C) Tam açı     D) Çevre açı  


7) Alanı 108 cm² olan dairenin çevresi kaç cm'dir ?

(π = 3)


   A) 36     B) 32     C) 28     D) 24  


8) Çevresi 24 cm olan dairenin alanı kaç cm²'dir ?

(π = 3)


   A) 24     B) 36     C) 40     D) 48  


9) Düzgün sekizgenin bir iç açısının ölçüsü kaç derecedir?

   A) 135     B) 108     C) 145     D) 150  


10) Bir konveks onikigenin aynı köşesinden diğer köşelere çizilen köşegenler bu çokgeni kaç üçgene böler?

   A) 9     B) 10     C) 11     D) 12  


11) Aşağıdaki ifadelerden hangisi yanlıştır?

   A) Düzgün beşgenin iç açıları toplamı 540° dir.
   B) Düzgün beşgenin iç açısı 108° dir.
   C) Düzgün altıgenin dış açıları toplamı 360° dir.
   D) Düzgün sekizgenin iç açıları toplamı 1040° dir.


12) 12 kenarlı bir çokgenin iç açılarının toplamı kaç derecedir?

   A) 1800     B) 1960     C) 2160     D) 2340  


13) Hangi sayının %20 fazlası aynı sayının 2 katının 16 eksiğine eşittir?

   A) 10     B) 20     C) 25     D) 30  


14) Toplamları 84 olan iki sayıdan biri 3 ile diğeri 4 ile ters orantılıdır. Bu sayılardan büyük olanı kaçtır?

   A) 48     B) 35     C) 24     D) 12  


15) Yarısının 4 fazlasının dörtte birinin 5 fazlası 10 olan sayının 1/8 i kaçtır?

   A) 4     B) 5     C) 6     D) 7  




16) Şekilde; ABCD karesi ile [BC] ve [AD] çaplı yarım daireler verilmiştir. Karenin çevresi 24 cm olduğuna göre; taralı alan kaç cm² dir?

   A) 16     B) 25     C) 36     D) 49  




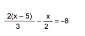
17)  denklemini sağlayan x değeri kaçtır?

   A) -28     B) -26     C) -24     D) -22  

Başarılar dilerim

Bu döküman Sınıf Öğretmeniyiz Biz soru bankasında oluşturulmuştur. Binlerce resimli ve görsel soru içinden seçtiğiniz sorularla yazılı ve test kağıtları oluşturmak için sitemizi ziyaret ediniz. (http://www.sinifogretmeniyiz.biz/soru_bankasi_default.asp)

YORUMLAR
En yeni ve güncel etkinlikler için bizi takip edin
Sen de soru ekle
Çalışma kağıdı oluştur