Hediye Kampanyamız:En fazla puan toplayan 3 kişiye 400TL'lik hepsiburada hediye çeki hediye ediyoruz..

SORU BANKASI - ÇALIŞMA KAĞIDI AYRINTILARI


6.Sınıf Matematik 2.Dönem 2.Yazılı


Kategori:6.Sınıf Mat. Geometrik Kavramlar ve Dahası teması

Hazırlayan:Zahide  Ünal (29.4.2016 22:32:12)

Başlık:Basarı

İzlenme:2552

Bu çalışma kağıdını, çalışma kağıtlarıma kopyala ve düzenle - Yönetime Bildir


Yazdır / İndir
ata
2015-2016 Öğretim Yılı 6.Sınıf Matematik Dersi
2.Dönem 2.Yazılı

Ad Soyad:..............................Tarih:30.4.2016
No:..............................Puan:.....................

1) ( 16 ? 4 : 4 ) + ( 12 ? 6 ÷ 3 ) işleminin sonucu kaçtır ?



     Cevap:______



2) 60 ÷ 4 ? 2 X 5 işleminin sonucu nedir ?



     Cevap:______



3) Aşağıdaki cümleleri uygun kelimelerle eşleştiriniz ya da parantez içine doğru şıkkı yazınız.

  A)bir sayının 3 katı(__)x+5
  B)'' '' 5 fazlası(__)x3
  C)'' '' 9 eksiği(__)4x
  D)bir sayının yarısı(__)x/2
  E)bir sayının 4 katı(__)x-9

4) bir sayının 21 katının 8 eksiğini gösteren cebirsel ifadeyi yazınız.



     Cevap:______




5) (-12)+(3)=?

   A) +6     B) +54     C) -9     D) -6  


6) [Mutlak]değere göre yapınız.

-34 -45-67+78+98
=-98
=+34
=+67
=-78
=+45




7) 6958 sayısının beşe bölümünde kalan kaçtır?

   A) 1     B) 3     C) 5     D) 8  


8) Hangi sayı hem 2 ile hem de 9 ile kalansız bölünebilir?

   A) 2586     B) 1584     C) 3465     D) 2408  


9) 30,45,60 sayılarının EBOB'u kaçtır?

   A) 60     B) 45     C) 30     D) 15  


10) 4x-7 cebirsel ifadesi için aşağıdakilerden hangisi yanlıştır?

   A) 2 terimi vardır
   B) Değişkeni x'tir
   C) Başkatsayısı 4'tür
   D) Sabit terimi 4'tür.


11) (180,240=obeb'in eşiti nedir?

   A) 240     B) 180     C) 120     D) 60  


12) 198 sayısını en büyük asal çarpanı nedir?

   A) 2     B) 3     C) 9     D) 11  


13) 120 ve 156 sayılarının ebob'u kaçtır?

   A) 16     B) 12     C) 9     D) 6  


14) 0,03 m3 kaç cm3 eder?

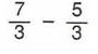
   A) 300000     B) 30000     C) 3000     D) 300  


15) l-7|, |5| , (-3), (-2), |1l sayılarını sıralayınız?

   A)  l7l>|5|>|1l>(-2)>(-3)
   B) l7l>|-3|>|1l>(-2)>(5)
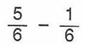
   C) l5l>|7|>|1l>(-2)>(-3)
   D) l7l>|1|>|5l>(-2)>(-3)


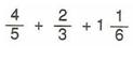
16) l-4| , |5| , |-9| ve |1| sayılarını sıralayınız.

   A) l-9;>|5|>|-4|>|1|
   B) l1l>|5|>|-4|>|-9|
   C) l-9;>|1l>|-4|>|5|
   D) l-9;>|-4|>|5|>|1|


17) a = l-5l b = +l4l c = l-3l olduğuna göre, a + b - c işlemi­nin sonucu kaçtır?

   A) 4     B) 5     C) 6     D) 7  


18) (-8) + (+12) + (-4) + (+5) + (-8) işleminin sonucu kaçtır?

   A) -6     B) -5     C) -4     D) -3  


19) [-14)-(-2)+ (5)] +4 işleminin sonucu kaçtır?

   A) -6     B) -4     C) -3     D) -2  


20) (20) + (k) = (+7) ifadesinde k yerine han­gi sayı gelmelidir?

   A) 25     B) 26     C) 27     D) 28  


21) 3 - {[(-2) - (-2) + (-5)] - (-4)} işleminin sonucu kaçtır?

   A) 4     B) 5     C) 6     D) 7  


22) (-12 + 1-101 - 10 + 42) + (-19 + 14) işleminin sonucu kaçtır?

   A) -25     B) -30     C) -40     D) -45  


23) 3, -2, -5, 4, -6 sayılarından hangisi sıfıra en yakındır?

   A) -1     B) -2     C) -3     D) -4  


24) (+13) +(-21) +(9) +(-13)=? Işleminin sonucu nedir?

   A) 10     B) 11     C) 12     D) 13  


25) (42) + (21) + (-66) + (-1) =? İşleminin sonucu nedir?

   A) -4     B) -5     C) -6     D) -7  


26) (-1) + (+19) + (-20) + (-33) =? İşleminin sonucu kaçtır?

   A) 35     B) 36     C) 37     D) 38  


27) (0) + (82) + (-17) + (-11)=? İşleminin sonucu kaçtır?

   A) 54     B) 55     C) 56     D) 57  


28) (3) +(-3) +(12) +(-12)=? İşleminin sonucu kaçtır?

   A) 3     B) 4     C) 2     D) 0  


29) (-7) + (+9) + (-8) + (0)= İşleminin sonucu kaçtır?

   A) -8     B) -7     C) -6     D) -5  


30) (44) -[(-11)- (23)] + (-15) =? işleminin sonucu kaçtır?

   A) 63     B) 65     C) 66     D) 67  


31) (-33)-(-21) +(-17)=? İşleminin sonucu kaçtır?

   A) -29     B) -30     C) -40     D) -50  


32) (29) - [(-1) - (-7)] - 13 =? İşleminin sonucu kaçtır?

   A) 10     B) 12     C) 13     D) 14  


33) [(43)-(-43)]-(-5)=? İşleminin sonucu kaçtır?

   A) 91     B) 81     C) 70     D) 60  


34) (-13) -(+5)=? İşleminin sonucu kaçtır?

   A) -8     B) -10     C) -12     D) 14  


35) 2x-7=9 denklemini çözünüz.

   A) x=8     B) x=4     C) x=10     D) x=12  


36) 96-4x=16 denklemini çözünüz

   A) 20=x     B) 24=x     C) 23=x     D) 21=x  


37) 18,23,28, ... sayı örüntüsünün 8. terimi kaçtır?

   A) 38     B) 43     C) 48     D) 53  


38) 37,11,15, ???? Yukarıdaki sayı örüntüsünde 9. sayıyı bulunuz.

   A) 30     B) 32     C) 34     D) 35  




39) işleminin sonucu kaçtır?

   A) 3,897     B) 2,975     C) 4,658     D) 5,325  


40) 7,777 + 7,7 + 7,77 + 7 işleminin sonucu kaçtır?

   A) 29,322     B) 28,65     C) 30,247     D) 3,247  




41) işleminin sonucu kaçtır?

   A) 1,075     B) 1,2065     C) 1,0245     D) 2,045  


42) 0,75 + 42 + 9 + 1,9 işleminin sonucu kaçtır?

   A) 53,65     B) 5,65     C) 57,65     D) 59,65  


43) 101,101 + 3,393 + 7,701 + 0,99 işleminin sonucu kaçtır?

   A) 116,185     B) 113,185     C) 143,185     D) 113,178  


44) 0,014 + 3,021 + 5,971 + 1,1 işleminin sonucu kaçtır?

   A) 10,120     B) 12,203     C) 10,106     D) 13,202  




45) olan ondalık kesir aşağıdakilerden han­gisidir?

   A) 0,1818     B) 0,12020     C) 0,1219     D) 0,1230  


46) 3,1 x 1,3 x (0,2x5,5) 100 işleminin sonucu kaçtır?

   A) 44,32     B) 443,3     C) 444,35     D) 4441,1  


47) 0,0015 ondalık sayıların okunuşu aşağıdakilerin hangisidir?

   A) Sıfır tam onbinde onbeş
   B) Sıfır tam yüzde onbeş
   C) Sıfır tam binde onbeş
   D) tam onbinde onbeş




48) bölme işleminin sonucu kaçtır?

   A) 34/5     B) 35/8     C) 35/9     D) 34/9  




49) bölme işleminin sonucu kaçtır?

   A) 4/25     B) 5/27     C) 4/42     D) 4/27  




50) çıkarma işleminin sonucu kaçtır?

   A) 2/10     B) 3/10     C) 4/10     D) 5/10  




51) işleminin sonucu kaçtır

   A) 32/50     B) 33/80     C) 34/80     D) 35/80  




52) çıkarma işleminin sonucu kaçtır?

   A) 2     B) 4     C) 3     D) 1  




53) çıkarma işleminin sonucu kaçtır?

   A) 3/11     B) 4     C) 4/12     D) 5/11  




54) çıkarma işleminin sonucu kaçtır?

   A) 4     B) 3     C) 2     D) 1  




55) çıkarma işleminin sonucu kaçtır?

   A) 6/9     B) 6/10     C) 5/9     D) 4/9  




56) çıkarma işleminin sonucu kaçtır?

   A) 2/3     B) 3/6     C) 4/6     D) 5/6  




57) çıkarma işleminin sonucu kaçtır?

   A) 5/6     B) 3/6     C) 2/6     D) 4/6  




58)  İşleminin sonucu kaçtır?

   A) 79/6     B) 1/7     C) 1/8     D) 2/6  




59) işleminin sonucu kaçtır?

   A) 50/6     B) 51/4     C) 52/6     D) 54/8  


60) -4a+6+2a-11 cebirsel ifadesi a=2 için değeri kaçtır?

   A) -9     B) -5     C) 4     D) 9  


61) 5X5X5X5X5X5 ifadesi aşağıdakilerden hangisine eşittir?

   A) 6 X 5     B) 5 üzeri 6     C) 5 üzeri 5     D) 6 üzeri 5  


62) Aşağıdakilerden hangisi bir cebirsel ifade değildir?

   A) 2x     B) 7-5     C) 3a+1     D) 4a  


63) Bir sayının 3 katının 7 eksiği, kendisinin 1 fazlasına eşittir. ? Yukarıda sözlü anlatımın cebirsel ifa­desi aşağıdakilerden hangisidir?

   A) 3x-7 =x+1     B) 3x+1 = x+7 3     C) 2x-7 = x+3     D) x-3 = 7  


64) 10x2+3x5-2x3 işleminin sonucu kaçtır?

   A) 24     B) 25     C) 28     D) 29  


65) 10:5+4x3-8 işleminin sonucu kaçtır?

   A) 4     B) 5     C) 6     D) 7  


66) 4x7-5x2 işleminin sonucu kaçtır?

   A) 12     B) 15     C) 16     D) 18  




67) (15:5)x2-(36-11x3) = ?

   A) 3     B) 5     C) 14     D) 15     E) 25  


68) 36 doğal sayısının çarpanlarından biri aşağıdakilerden hangisidir?

   A) 4     B) 8     C) 16     D) 21  


69) Aşağıdakilerden hangisi 4 ün katlarından değildir?

   A) 16     B) 20     C) 24     D) 30  


70) 8a-3 cebrisel ifadesinin a=9 için değerini bulalım

   A) 50     B) 69     C) 89     D) 40  

I.Leyla bakılma rekorunu kırmıştır.
II.Esra bakılmaktan da çok puan almıştır.
III.Yağmur leyladan puan olarak fazla bakılma olarak azdır.
IV.Esra tüm ressamlardan geride kalmıştır.

71)

Yukarıdaki ifadelerden hangisi ya da hangileri doğrudur?

   A) I ve II     B) II ve III     C) Hepsi     D) II ve IV  


72) Bir kenarının uzunluğu 5 cm olan karenin çevresi kaç santimetredir?

   A) 5     B) 10     C) 15     D) 20  


73) Bir kenarı 8 cm olan eşkenar üçgenin çevresi kaç cm'dir?

   A) 32     B) 24     C) 18     D) 12  


74) 4 tane dik açının toplamının oluşturduğu açı türü ne tür bir açıdır?

   A) Doğru açı     B) Tam açı     C) Geniş açı     D) Dik açı  

75) Aşağıdaki cümlelerin başına doğru ise "D" yanlış ise "Y" yazınız.

  • (__) (-3)+(+6 )-(-1)=-2
  • (__) +14 + -8= -7
  • (__) -12<13<+54
  • (__) -14=+14

  • Başarılar dilerim

    Bu döküman Sınıf Öğretmeniyiz Biz soru bankasında oluşturulmuştur. Binlerce resimli ve görsel soru içinden seçtiğiniz sorularla yazılı ve test kağıtları oluşturmak için sitemizi ziyaret ediniz. (http://www.sinifogretmeniyiz.biz/soru_bankasi_default.asp)

    YORUMLAR
    En yeni ve güncel etkinlikler için bizi takip edin
    Sen de soru ekle
    Çalışma kağıdı oluştur