Hediye Kampanyamız:En fazla puan toplayan 3 kişiye 400TL'lik hepsiburada hediye çeki hediye ediyoruz..

SORU BANKASI - ÇALIŞMA KAĞIDI AYRINTILARI


6.Sınıf Matematik 2.Dönem 1.Yazılı


Kategori:6.Sınıf Mat. Doğal Sayılar ve Dahası teması

Hazırlayan:Özlem  Şahinkol (4.3.2016 12:52:43)

Başlık:2015 - 2016 Yılı Matematik 1.Sınavı

İzlenme:2245

Bu çalışma kağıdını, çalışma kağıtlarıma kopyala ve düzenle - Yönetime Bildir


Yazdır / İndir
ZİRAAT MÜHENDİSLERİ ORTAOKULU
2015-2016 Öğretim Yılı 6.Sınıf Matematik Dersi
2.Dönem 1.Yazılı

Ad Soyad:..............................Tarih:4.3.2016
No:..............................Puan:.....................


1) (-12)+(3)=?

   A) +6     B) +54     C) -9     D) -6  


2) [Mutlak]değere göre yapınız.

-34 -45-67+78+98
=-98
=+34
=+67
=-78
=+45




3) (1,2 : 0,02): 0,5 işleminin sonucu kaçtır?

   A) 100     B) 110     C) 120     D) 130  




4)  işeminin sonucu kaçtır?

   A) 4     B) 3     C) 2     D) 1  


5) 4,044 : 1,2 işleminin sonucu kaçtır?

   A) 3,25     B) 3,26     C) 3,37     D) 4,39  




6)  işleminin sonucu kaçtır?

   A) 20     B) 21     C) 22     D) 23  




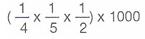
7)  işleminin sonucu kaçtır?

   A) 30     B) 35     C) 40     D) 45  




8) işleminin sonucu kaçtır

   A) 40     B) 35     C) 25     D) 15  


9) 100 x (0,64 x 0,2) işleminin sonucu kaçtır?

   A) 11,25     B) 12,08     C) 13,25     D) 14,25  


10) 1,9 x 9,1 x 1 işleminin sonucu kaçtır?

   A) 16,25     B) 17,29     C) 18,23     D) 19,25  


11) 0,014 + 3,021 + 5,971 + 1,1 işleminin sonucu kaçtır?

   A) 10,120     B) 12,203     C) 10,106     D) 13,202  




12) Sayı doğrusunda A noktasındaki ondalık kesrin onda birler basamağına kadar yu­varlanmış şekli aşağıdakilerden hangisi­dir?

   A) 1,4     B) 1,3     C) 1,5     D) 1,7  


13) 0,0015 ondalık sayıların okunuşu aşağıdakilerin hangisidir?

   A) Sıfır tam onbinde onbeş
   B) Sıfır tam yüzde onbeş
   C) Sıfır tam binde onbeş
   D) tam onbinde onbeş




14) işlemin sonucunu ondalık sayı olarak yazınız.

   A) 3,478     B) 3,468     C) 3,4578     D) 3,476  




15) bölme işleminin sonucu kaçtır?

   A) 34/5     B) 35/8     C) 35/9     D) 34/9  


16) (2+3/4):(3+2/3) işleminin sonucu kaçtır?

   A) 1/2     B) 2/3     C) 3/5     D) 3/4  


17) Bir kamyon doluyken tartılırsa 19 ton, 1/3ü doluyken tartılırsa 7 ton geliyor. Kamyonun boşken kütlesi kaç tondur?

   A) 1     B) 2     C) 3     D) 4  


18) Bir kasap 120 kilo etin önce 3/5ini, sonra kalanın 1/2sini satıyor. Geriye kaç kilo et kalmıştır?

   A) 16     B) 18     C) 20     D) 24  


19) (5-0,6) - (4-0,9) işleminin sonucu kaçtır?

   A) 1,2     B) 1,3     C) 1,4     D) 1,5  




20) işleminin sonucu kaçtır?

   A) 3,897     B) 2,975     C) 4,658     D) 5,325  


21) 36 sayısının 5/6sının 7 katı kaçtır?

   A) 180     B) 210     C) 220     D) 240  


22) Bir manavdan 3 KG elma ile 3 KG armut alındığında 12 TL ödeniyor.
Eğer 10 KG elma ile 10 KG armut alınsaydı kaç TL ödenirdi ?


   A) 40     B) 45     C) 50     D) 65     E) 70  


23) Hasan,Kemal ve Şükrü babalarının verdiği 670 TL paradan , önce 30 ar TL alıyorlar. Kalan paranın yarısını Hasan aldıktan sonra artan parayı da Kemal ve Şükrü eşit olarak bölüşüyorlar.
Buna göre Şükrü nün aldığı toplam para kaç TL dir ?


   A) 125     B) 145     C) 175     D) 195     E) 135  

24) ( 16 ? 4 : 4 ) + ( 12 ? 6 ÷ 3 ) işleminin sonucu kaçtır ?



     Cevap:______



25) Aşağıdaki cümlelerin başına doğru ise "D" yanlış ise "Y" yazınız.

  • (__) (-3)+(+6 )-(-1)=-2
  • (__) +14 + -8= -7

  • Başarılar dilerim

    Bu döküman Sınıf Öğretmeniyiz Biz soru bankasında oluşturulmuştur. Binlerce resimli ve görsel soru içinden seçtiğiniz sorularla yazılı ve test kağıtları oluşturmak için sitemizi ziyaret ediniz. (http://www.sinifogretmeniyiz.biz/soru_bankasi_default.asp)

    YORUMLAR
    En yeni ve güncel etkinlikler için bizi takip edin
    Sen de soru ekle
    Çalışma kağıdı oluştur