Hediye Kampanyamız:En fazla puan toplayan 3 kişiye 400TL'lik hepsiburada hediye çeki hediye ediyoruz..

SORU BANKASI - ÇALIŞMA KAĞIDI AYRINTILARI


6.Sınıf Matematik 1.Dönem 1.Yazılı


Kategori:6.Sınıf Mat. Doğal Sayılar ve Dahası teması

Hazırlayan:Ali  Yuksel (3.12.2014 15:35:26)

Başlık:2222

İzlenme:2085

Bu çalışma kağıdını, çalışma kağıtlarıma kopyala ve düzenle - Yönetime Bildir


Yazdır / İndir
ATATÜRK ORTAOKULU
2014-2015 Öğretim Yılı 6.Sınıf Matematik Dersi
1.Dönem 1.Yazılı

Ad Soyad:..............................Tarih:4.12.2014
No:..............................Puan:.....................


1) (5-0,6) - (4-0,9) işleminin sonucu kaçtır?

   A) 1,2     B) 1,3     C) 1,4     D) 1,5  


2) (0,005 + 0,051) +(1-0,9) işleminin sonucu kaçtır?

   A) 0,156     B) 0,255     C) 0,544     D) 0,254  




3) işlemde (a+b)-c kaçtır?

   A) 4     B) 3     C) 2     D) 1  


4) A-3,14 = 2,99; B +2,11=4,22 olduğuna göre, A-B farkı kaçtır?

   A) 2,21     B) 3,1     C) 4,01     D) 4,02  


5) 414-0,989 işleminin sonucu kaçtır?

   A) 413,244     B) 413,254     C) 413,011     D) 500,225  


6) 1,223+9,009-7,7777 işleminin sonucu kaçtır?

   A) 2,4546     B) 3,2545     C) 4,2355     D) 5,232  


7) 6,666 - 0,999 işleminin sonucu kaçtır?

   A) 5,667     B) 5,444     C) 6,254     D) 6,255  


8) (3-0,75)-(2,05- 1,5)işleminin sonucu kaçtır?

   A) 1,7     B) 2,7     C) 3,4     D) 3,8  




9)  işleminin sonucu kaçtır?

   A) 1000     B) 2000     C) 3000     D) 4000  




10) olduğuna göre (2x-y)?nin eşiti aşağıdakilerden hangisidir?

   A) 2111     B) 2110     C) 2300     D) 2400  




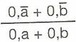
11) a ve b birer rakamı göstermek üzere, işleminin sonucu kaçtır?

   A) 1,8     B) 1,9     C) 2,0     D) 2,1  


12) (2,222 + 9,999) + (8,888+3,333) işleminin sonucu kaçtır?

   A) 24,442     B) 24,555     C) 25,455     D) 25,333  




13) Yandaki toplama işlemine göre, a+b+c kaçtır?

   A) 10     B) 9     C) 8     D) 7  




14) yukarıdaki işlemde a+b+c kaçtır

   A) 9     B) 10     C) 11     D) 12  




15) olduğuna göre, A+B toplamı kaçtır?

   A) 5     B) 6     C) 7     D) 8  




16) işleminin sonucu kaçtır?

   A) 3,897     B) 2,975     C) 4,658     D) 5,325  


17) 7,777 + 7,7 + 7,77 + 7 işleminin sonucu kaçtır?

   A) 29,322     B) 28,65     C) 30,247     D) 3,247  




18) işleminin sonucu kaçtır?

   A) 1,075     B) 1,2065     C) 1,0245     D) 2,045  


19) 0,75 + 42 + 9 + 1,9 işleminin sonucu kaçtır?

   A) 53,65     B) 5,65     C) 57,65     D) 59,65  


20) 101,101 + 3,393 + 7,701 + 0,99 işleminin sonucu kaçtır?

   A) 116,185     B) 113,185     C) 143,185     D) 113,178  


21) 0,014 + 3,021 + 5,971 + 1,1 işleminin sonucu kaçtır?

   A) 10,120     B) 12,203     C) 10,106     D) 13,202  


22) 0,m23 < 0,523 eşitsizliğinde m?nin alaca­ğı doğal sayılar toplamı kaçtır?

   A) 10     B) 9     C) 8     D) 7  


23) 2,147 ondalık kesrinin onda birler basa­mağına kadar yuvarlanmış şekli kaçtır?

   A) 2,6     B) 2,4     C) 2,3     D) 2,2  




24) olan ondalık kesir aşağıdakilerden han­gisidir?

   A) 0,1818     B) 0,12020     C) 0,1219     D) 0,1230  


25) 4,044 : 1,2 işleminin sonucu kaçtır?

   A) 3,28     B) 3,37     C) 3,38     D) 4  


26) 3,1 x 1,3 x (0,2x5,5) 100 işleminin sonucu kaçtır?

   A) 44,32     B) 443,3     C) 444,35     D) 4441,1  




27) Sayı doğrusunda A noktasındaki ondalık kesrin onda birler basamağına kadar yu­varlanmış şekli aşağıdakilerden hangisi­dir?

   A) 1,4     B) 1,3     C) 1,5     D) 1,7  


28) 4,83 kesrini tam sayıya göre yuvarlayınız.

   A) 5     B) 4     C) 6     D) 3  


29) 0,0015 ondalık sayıların okunuşu aşağıdakilerin hangisidir?

   A) Sıfır tam onbinde onbeş
   B) Sıfır tam yüzde onbeş
   C) Sıfır tam binde onbeş
   D) tam onbinde onbeş




30) işlemin sonucunu ondalık sayı olarak yazınız.

   A) 3,478     B) 3,468     C) 3,4578     D) 3,476  


31) 6,055 ondalık kesrini yüzde birler basamağına göre yuvarlayınız.

   A) 6,07     B) 6,06     C) 6,03     D) 6,66  


32) 24,256 ondalık sayısını en yakın birliğe yuvarlayınız.

   A) 24,3     B) 24,56     C) 25,3     D) 24,13  


33) 215,24 sayısını onda birler basamağına göre yuvarlama yapılmış şeklini yazınız.

   A) 225,2     B) 215,2     C) 315,2     D) 235,124  




34) bölme işleminin sonucu kaçtır?

   A) 34/5     B) 35/8     C) 35/9     D) 34/9  




35) bölme işleminin sonucu kaçtır?

   A) 4/25     B) 5/27     C) 4/42     D) 4/27  




36) eşitliğinde sembolü yerine hangi kesir getirilmelidir?

   A) 1/4     B) 2/4     C) 3/4     D) 4/4  




37) işleminin sonucu kaçtır?

   A) 2/4     B) 3/3     C) 2/3     D) 4/3  




38) işleminin sonucu kaçtır

   A) 32/50     B) 33/80     C) 34/80     D) 35/80  




39) çıkarma işleminin sonucu kaçtır?

   A) 2/10     B) 3/10     C) 4/10     D) 5/10  




40) çıkarma işleminin sonucu kaçtır?

   A) 2     B) 4     C) 3     D) 1  




41) çıkarma işleminin sonucu kaçtır?

   A) 3/11     B) 4     C) 4/12     D) 5/11  




42) çıkarma işleminin sonucu kaçtır?

   A) 4     B) 3     C) 2     D) 1  




43) çıkarma işleminin sonucu kaçtır?

   A) 6/9     B) 6/10     C) 5/9     D) 4/9  




44) çıkarma işleminin sonucu kaçtır?

   A) 2 tam 1/9     B) 1 tam 1/9     C) 2 tam 1/11     D) 2 tam 1/10  




45) çıkarma işleminin sonucu kaçtır?

   A) 2/3     B) 3/6     C) 4/6     D) 5/6  




46) çıkarma işleminin sonucu kaçtır?

   A) 5/6     B) 3/6     C) 2/6     D) 4/6  




47) işleminin sonucu kaçtır?

   A) 50/6     B) 51/4     C) 52/6     D) 54/8  




48)  İşleminin sonucu kaçtır?

   A) 79/6     B) 1/7     C) 1/8     D) 2/6  


49) Toplamı 52 olan ardışık 4 çift sayının en büyüğü kaçtır?

   A) 12     B) 14     C) 16     D) 18  


50) -4a+6+2a-11 cebirsel ifadesi a=2 için değeri kaçtır?

   A) -9     B) -5     C) 4     D) 9  


51) 6t+3=9 olduğuna göre, 5t-3 ifadesinin değeri kaçtır?

   A) 0     B) -3     C) 2     D) 3  


52) 5X5X5X5X5X5 ifadesi aşağıdakilerden hangisine eşittir?

   A) 6 X 5     B) 5 üzeri 6     C) 5 üzeri 5     D) 6 üzeri 5  


53) Aşağıdakilerden hangisi c=3 için doğrudur?

   A) 5c-2=12     B) c+3=6     C) 2-9c=26     D) 2c-10=4  


54) Aşağıdaki matematiksel ifadelerden hangisi 3 terimlidir?

   A) 2a-5b-1     B) 3t-2     C) 11-2b     D) 2t-5a-11b+9  


55) Aşağıdaki denklemlerden hangisi iki bilinmeyenli bir denklemdir?

   A) 5a-4=3a     B) 74+3=77     C) 6b+4b=50     D) 4a-7b=79  


56) Yusuf ile Ali'nin bugünkü yaşlarının toplamı 15'tir. Ali doğduğunda Yusuf 3 yaşında olduğuna göre, Ali'nin bugünkü yaşı kaçtır?

   A) 3     B) 6     C) 9     D) 12  


57) 99-5a ifadesinin a=9 için değeri kaçtır?

   A) 45     B) -54     C) -45     D) 54  


58) 37-5k=7 ifadesindeki k değeri kaçtır?

   A) 2     B) -6     C) 8     D) 6  


59) ?5 kg?lık paketlerde satılan şekerin 1 kg?nın fi­yatı? ifadesini cebirsel olarak belirtiniz.

   A) a-5     B) b-4     C) c-4     D) d-4  


60) Bir sayının 3 katının 7 eksiği, kendisinin 1 fazlasına eşittir. ? Yukarıda sözlü anlatımın cebirsel ifa­desi aşağıdakilerden hangisidir?

   A) 3x-7 =x+1     B) 3x+1 = x+7 3     C) 2x-7 = x+3     D) x-3 = 7  


61) Aşağıdakilerden hangisi bir cebirsel ifade değildir?

   A) 2x     B) 7-5     C) 3a+1     D) 4a  


62) 29 kişilik bir sınıfta kızların sayısı erkeklerin sayısından 3 kişi eksiktir. Buna göre, er­keklerin sayısı kaçtır?

   A) 16     B) 20     C) 24  


63) 2x - 3 = x+1 denkleminde x kaçtır?

   A) 14     B) 10     C) 16     D) 4  


64) 72 sayısının 4 katının 28 eksiğinin yarısı kaçtır.

   A) 130     B) 140     C) 150     D) 160  


65) iki katının 8 eksiği 60 olan sayı kaçtır?

   A) 34     B) 38     C) 54     D) 56  


66) 15 fazlası 47 olan sayı kaçtır?

   A) 31     B) 32     C) 33     D) 34  


67) Ardışık iki sayının toplamı 61'dir. buna göre küçük sayı kaçtır?

   A) 41     B) 31     C) 28     D) 30  


68) Bir bölme işleminde kalan 4, bölen 18 ve bölüm 32 ise bölünen sayı kaçtır?

   A) 104     B) 146     C) 580     D) 602  


69) Ali ile Ayşe'nin yaşlarının toplamı 37'dir. Ali 3 yaş büyük. Ayşe 4 yaş küçük olsaydı Ali'nin yaşı Ayşe'nin yaşının 3 katı olacaktı. Ali'nin yaşı kaçtır?

   A) 27     B) 24     C) 13     D) 9  


70) 8 ile 173 arasında, üçe kalansız bölünebilen kaç doğal sayı vardır?

   A) 53     B) 54     C) 55     D) 56  


71) Tek sıra halinde dizilmiş öğrencilerden Betül baştan on beşinci, Büşra sondan on sekizincidir. Büşra, Betül'ün önünde ve aralarında dört kişi olduğuna göre dizide kaç öğrenci vardır?

   A) 33     B) 31     C) 29     D) 27  


72) Dört basamaklı abab doğal sayısındaa "b" nin sayı değeri "a" nın sayı değerinin dört katıdır. a"a ların basamak değerleri toplamının "b" lerin basamak değerleri. toplamından farklı en fazla kaçtır?

   A) 606     B) 1212     C) 3939     D) 7878  


73) Dört trilyon kırk milyar kırk sayısı aşağıdakilerden hangisidir?

   A) 4040000040
   B) 400040000040
   C) 4040000000040
   D) 400400000000040


74) Aslı ile Hande2nin yaşları toplamı 40'tır. Aslı'nın yaşı Hande'nin yaşının 3 katından 8 eksik olduğuna göre Aslı kaç yaşındadır?

   A) 12     B) 18     C) 24     D) 28  


75) Farkları 63 olan iki doğal sayıdan büyüğü küçüğün 4 katından 3 eksiktir. Bu sayıların toplamı kaçtır?

   A) 22     B) 85     C) 107     D) 110  


76) İki doğal sayının toplamı 55'tir. Bu sayılardan küçüğün iki katı, büyüğün yarısına eşittir. Buna göre, büyük sayı kaçtır?

   A) 11     B) 22     C) 28     D) 44  


77) a doğal sayısının karesinden kendisi çıka­rıldığında 42 sayısı elde ediliyor. Buna göre, a sayısı kaçtır?

   A) 8     B) 7     C) 6     D) 5  


78) İki kişinin kütleleri toplamı 165 kg?dır. Biri di­ğerinden 15 kg ağır olduğuna göre, kütlesi az olan kaç kg?dır?

   A) 80     B) 75     C) 60     D) 55  


79) Ardışık üç çift doğal sayının toplamı 156 olduğuna göre en küçük sayı kaçtır?

   A) 42     B) 48     C) 50     D) 78  


80) Ardışık 5 tek doğal sayının toplamı 335 ise, en büyük sayı kaçtır?

   A) 71     B) 61     C) 51     D) 41  


81) Toplamları 65 olan iki doğal sayıdan bü­yüğü, küçüğünün 4 katından 5 fazla oldu­ğuna göre, büyük sayı kaçtır?

   A) 56     B) 53     C) 44     D) 43  


82) Biri diğerinden 24 fazla olan iki doğal sa­yının toplamı 108 olduğuna göre, büyük sayı kaçtır?

   A) 66     B) 55     C) 54     D) 50  


83) Üç basamaklı ab9 doğal sayısı, iki basa­maklı ab doğal sayısına bölünüyor. Bö­lüm ile kalanın toplamı aşağıdakilerden hangisidir?

   A) 9     B) 10     C) 19     D) 14  


84) Ahmet a sayısını 27 ile çarpmıştır. İşlemi tekrar kontrol ettiğinde a sayısının 8 olan onlar basamağını 3 olarak aldığını görü­yor. Buna göre Ahmet, çarpımı ne ka­dar eksik bulmuştur?

   A) 1350     B) 1250     C) 3000     D) 2000  


85) ab ve ba iki basamaklı sayılardır. ab - ba = 36 ve a + b = 14 ise a kaçtır?

   A) 3     B) 6     C) 9     D) 12  


86) Beş basamaklı bir sayı, iki basamaklı bir sa­yıya bölündüğünde, kalan sayı en fazla kaç basamaklı olabilir?

   A) 4     B) 3     C) 2     D) 1  


87) a ve b doğal sayılar olmak üzere, 2a + 3b = 27 koşulunu sağlayan kaç b değeri vardır?

   A) 1     B) 2     C) 3     D) 5  


88) Üç basamaklı bir abc sayısı için, a = b + 1, b = c + 1?dir. Bu koşullara uyan üç basamaklı tek sayıların toplamı kaçtır?

   A) 2616     B) 2617     C) 2618     D) 2619  


89) 3 basamaklı, 3 farklı doğal sayının toplamı 2254?tür. Bu sayılardan en küçüğü en az kaçtır?

   A) 100     B) 256     C) 257     D) 356  


90) iki basamaklı bir sayının rakamlarının yerleri değiştirilirse, sayı 27 büyüyor. Bu sayının rakamları arasındaki fark kaçtır?

   A) 1     B) 2     C) 3     D) 4  


91) abc rakamları farklı üç basamaklı çift sayı­dır. a = 3b koşulunu sağlayan en büyük üç basamaklı sayı ile en küçük üç basa­maklı sayının toplamı kaçtır?

   A) 2145     B) 1246     C) 1247     D) 1248  


92) abc üç basamaklı sayısının birler ve yüzler basamağını ikişer artırıp, onlar basamağını 4 azaltırsak sayı nasıl değişir?

   A) 97 artar.     B) 202 artar     C) 242 artar.     D) 162 artar.  


93) Bir turist grubunda 9 bay, 24 bayan vardır. Bu gruba kaç evli çift katılırsa bayan­ların sayısı bayların sayısının iki katı olur?

   A) 8     B) 6     C) 4     D) 2  


94) Sıfırdan farklı bir doğal sayının üç katı alı­nır ve sonuç başlangıçtaki sayıya bölü­nürse bölüm kaç olur?

   A) 2     B) 3     C) 4     D) 5  


95) 1<a<b<8 olma koşulu ile 4ab9 biçi­minde yazılabilecek en büyük ve en kü­çük iki doğal sayının farkı aşağıdakilerden hangisidir?

   A) 640     B) 540     C) 440     D) 340  


96) Üç basamaklı birbirinden farklı dört doğal sayının toplamı 3096 ise bu sayılardan en küçüğü en az kaç olabilir?

   A) 101     B) 102     C) 104     D) 108  


97) ab ve ba iki basamaklı doğal sayılardır, ab + ba = 44 ise a + b kaçtır?

   A) 2     B) 4     C) 6     D) 8  


98) Rakamları farklı en büyük üç basamaklı tek sayı ile üç basamaklı en küçük asal sayının toplamı kaçtır?

   A) 1088     B) 1099     C) 1100     D) 1200  


99) abc üç basamaklı çift sayıdır, a = 2c ko­şuluna uygun, kaç farklı abc sayısı yazı­labilir?

   A) 2     B) 4     C) 12     D) 14  


100) Dört basamaklı bir sayı ile iki basamaklı bir sayı çarpılırsa, çarpım en fazla kaç basamaklı olur?

   A) 4     B) 5     C) 6     D) 7  

Başarılar dilerim

Bu döküman Sınıf Öğretmeniyiz Biz soru bankasında oluşturulmuştur. Binlerce resimli ve görsel soru içinden seçtiğiniz sorularla yazılı ve test kağıtları oluşturmak için sitemizi ziyaret ediniz. (http://www.sinifogretmeniyiz.biz/soru_bankasi_default.asp)

YORUMLAR
En yeni ve güncel etkinlikler için bizi takip edin
Sen de soru ekle
Çalışma kağıdı oluştur